BANDAR LAMPUNG – Keseriusan Dinas Bina Marga dan Bina Konstruksi (BMBK) Provinsi Lampung dalam menindaklanjuti temuan BPK RI Perwakilan Lampung atas 22 paket proyek di tahun 2023 dan 2024, mulai membuahkan hasil. Sampai akhir Januari 2025 lalu tercatat 7 rekanan telah mengembalikan kelebihan pembayaran ke kas daerah, dengan total Rp 1.180.825.606.
“Memang belum maksimal kawan-kawan rekanan yang mengembalikan kelebihan bayar sebagaimana temuan BPK, namun setidaknya hal ini merupakan capaian yang patut diapresiasi atas tanggung jawab rekanan. Tentu kami akan terus menindaklanjuti rekomendasi BPK hingga apa yang menjadi persoalan di BMBK pada tahun 2023 dan semester I 2024 terselesaikan,” kata Kepala Dinas BMBK, M. Taufiqullah, Rabu (5/2/2025) petang melalui pesan WhatsApp.
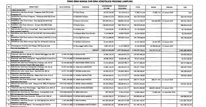
Mengacu pada LHP BPK RI Perwakilan Provinsi Lampung Atas Belanja Daerah TA 2024 pada Pemprov Lampung, Nomor: 47/LHP/XVIII.BLP/12/2024 tertanggal 20 Desember 2024, berdasarkan pemeriksaan fisik yang dilakukan secara uji petik terhadap 22 paket pekerjaan rehabilitasi, rekonstruksi, dan pembangunan jalan bersama dengan pihak Dinas BMBK, penyedia jasa, konsultan pengawas, dan tim UPTD Laboratorium Dinas BMBK serta pengujian pada Laboratorium Teknik Sipil UBL, diketahui terjadi kekurangan volume senilai Rp 2.570.557.505,21, dan ketidaksesuaian spesifikasi Rp 4.055.521.169,99. Totalnya sebesar Rp 6.626.078.675,20.
Dari 22 paket itu terdiri atas 9 proyek di tahun 2023 dengan nilai total kontrak sebesar Rp 44.305.873.565, yang diketahui terjadi kekurangan volume sebanyak Rp 1.092.424.856,48, dan ketidaksesuaian spesifikasi Rp 1.497.595.853,65. Atau totalnya Rp 2.580.020.710,13.
Sedangkan 13 paket di tahun 2024 –pemeriksaan BPK hingga semester I 2024- dari nilai kontrak proyek sebesar Rp 150.093.603.300, diketahui terjadi kekurangan volume sebanyak Rp 1.478.132.648,73 dan ketidaksesuaian dengan spesifikasi Rp 2.557.925.316,34. Totalnya di angka Rp 4.036.057.965,07.
Atas temuan tersebut, BPK merekomendasikan kepada Pj Gubernur Lampung agar memerintahkan Kepala Dinas BMBK untuk memproses kelebihan pembayaran kepada penyedia jasa konstruksi sebesar Rp 2.823.652.101,96 sesuai ketentuan dan menyetorkannya ke kas daerah terhadap 10 rekanan dan memproses potensi kelebihan pembayaran sebesar Rp 3.802.426.573,24 terhadap 12 rekanan sesuai ketentuan dengan mempertimbangkan sisa pembayaran.
Diketahui, hingga akhir Januari 2025, dari 22 rekanan baru 7 yang telah memenuhi tanggungjawabnya sebagaimana temuan BPK. Siapa saja penyedia jasa itu? Kepala Dinas BMBK Provinsi Lampung, M. Taufiqullah, menguraikan, ada 4 penyedia jasa proyek tahun 2023 yang telah mengembalikan kelebihan pembayarannya sesuai temuan BPK. Yaitu CV TG menyetorkan ke kas daerah sebesar Rp 71.866.722,39 pada 22 Januari 2025, CV AC menyetorkan Rp 16.325.395 pada 21 Januari 2025, dan CV MSR Rp 16.340.093,68 juga pada 21 Januari 2025.
“Sedangkan CV RC yang dalam temuan BPK terjadi kelebihan bayar Rp 813.251.536,75, baru menyetor ke kas daerah pada 23 Januari lalu sebesar Rp 420.000.000. Kami berharap, sisanya dapat segera disetorkan juga,” ucap Taufiq.
Sementara, 3 penyedia jasa yang mengerjakan proyek di tahun 2024 dan telah mengembalikan kelebihan pembayaran adalah CV SAP dengan menyetor ke kas daerah pada 21 Januari 2025 sebesar Rp 188.577.725,59, lalu PT MPP menyetor Rp 464.855.400,98 pada 21 Januari 2025, dan CV BSK menyetor Rp 12.860.268,41 pada 31 Desember 2024.
Bagaimana dengan 15 rekanan lainnya? “Kami terus melakukan komunikasi dengan kawan-kawan rekanan mengenai hal ini. Dan kami optimis, akan terus ada progres yang positif. Kita tentu memahami, bila temuan BPK ini tidak ditindaklanjuti dengan tuntas dapat menimbulkan persoalan baru terkait dengan kerugian keuangan negara atau daerah. Itu sebabnya, PPTK intens berkomunikasi dengan kawan-kawan rekanan,” kata Taufiq.
Lalu siapa saja 15 rekanan Dinas BMBK yang memiliki kewajiban mengembalikan kelebihan pembayaran sebagaimana temuan dan rekomendasi BPK yang hingga kini sama sekali belum menindaklanjuti? Merunut pada LHP BPK RI Perwakilan Provinsi Lampung Nomor: 47/LHP/XVIII.BLP/12/2024, tertanggal 20 Desember 2024, ini perinciannya:
1. CV RP, memiliki kewajiban menyetor ke kas daerah sebesar Rp 420.734.755,04.
2. CV NK, harus mengembalikan Rp 586.820.033,85.
3. CV AJ, harus mengembalikan Rp 62.736.628,04.
4. CV BGM ada kelebihan bayar yang harus dikembalikan senilai Rp 16.236.936,83.
5. CV UAK, bertanggungjawab mengembalikan Rp 585.708.608,99.
6. CV MMP punya kewajiban menyetor ke kas daerah Rp 233.631.391,83.
7. CV SP mempunyai tanggungan mengembalikan kelebihan pembayaran sebesar Rp 159.405.946,18.
8. CV SB harus mengembalikan Rp 95.613.185,82.
9. CV IPS harus mengembalikan Rp 187.577.084,39.
10. CV UAK harus mengembalikan Rp 169.247.770,61.
11. CV PAH wajib mengembalikan Rp 186.268.640,87.
12. CV RC harus mengembalikan Rp 330.818.148,68.
13. CV AKM harus mengembalikan kelebihan bayar Rp 430.000.907,4.
14. CV NK harus mengembalikan Rp 1.225.401.762,97.
15. PT AAK sebesar Rp 351.799.731,34 yang harus dikembalikan.
Selain adanya 15 rekanan yang belum mengembalikan kelebihan pembayaran sebesar Rp 5.445.253.069,20, Dinas BMBK Lampung juga memiliki persoalan dalam pekerjaan jasa konsultansi, dimana menurut BPK telah terjadi kelebihan pembayaran sebesar Rp 110.397.100. Yaitu CV DC harus mengembalikan Rp 30.077.100, CV MP Rp 34.242.000, dan CV MK Rp 36.420.000. Hingga saat ini, ketiga penyedia jasa konsultansi tersebut belum ada yang mengembalikan kelebihan pembayarannya ke kas daerah.
Berdasarkan UU BPK RI Nomor: 15 Tahun 2006 dan Peraturan Pelaksana lainnya, laporan hasil pemeriksaan (LHP) bersifat final dan mengikat serta harus ditindaklanjuti dalam kurun waktu 90 hari setelah diterbitkannya LHP tersebut kepada publik. Mengacu pada LHP BPK RI Perwakilan Provinsi Lampung Nomor: 47/LHP/XVIII.BLP/12/2024 tanggal 20 Desember 2024, maka paling lambat tanggal 20 Maret 2025 seluruh rekomendasi harus telah ditindaklanjuti. Jika tidak dilakukan, maka aparat penegak hukum (APH) –baik Polri maupun Kejaksaan- berhak untuk melakukan penyelidikan dengan dugaan perbuatan merugikan keuangan negara atau daerah alias tindak pidana korupsi. (fjr)

















